Saccharose monolaurate là một trong những chất phụ gia có chức năng kép do khả năng nhũ hoá và
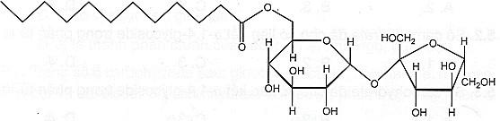
Saccharose monolaurate là một trong những chất phụ gia có chức năng kép do khả năng nhũ hoá và hoạt tính kháng khuẩn của nó. Saccharose monolaurate thu được khi cho saccharose tác dụng với lauric acid. Dưới đây là công thức cấu tạo của saccharose monolaurate.

| Đúng | Sai | |
|---|---|---|
| a) Từ 500 gam saccharose và 100 gam lauric acid, với hiệu suất của quá trình sản xuất là 47% có thể điều chế được 123,14 gam saccharose monolaurate. (Kết quả các phép tính trung gian không được làm tròn, chỉ kết quả cuối cùng được làm tròn đến hàng phần trăm). | ||
| b) Saccharose monolaurate có công thức phân tử C12H22O11. | ||
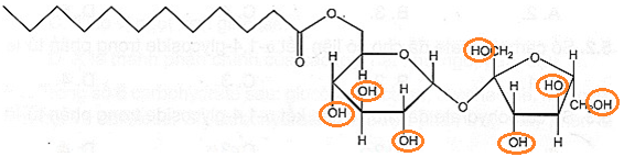
| c) Trong một phân tử saccharose monolaurate có 7 nhóm hydroxy. | ||
| d) Trong phân tử saccharose monolaurate có nhóm chức ester. |
Đáp án đúng là: Đ; S; Đ; Đ
Quảng cáo
a) Lauric acid: C11H23COOH có M = 200 (amu).
Saccharose: C12H22O11 có M = 342 (amu).
Saccharose monolaurate: M = 200 + 342 – 18 = 524 (amu).
So sánh số mol của các chất phản ứng và tính sản phẩm theo số mol chất phản ứng hết trước.
b) Công thức phân tử của saccharose monolaurate.
c), d) Đặc điểm cấu tạo phân tử saccharose monolaurate.
Đáp án cần chọn là: Đ; S; Đ; Đ
>> 2K8 Chú ý! Lộ Trình Sun 2026 - 3IN1 - 1 lộ trình ôn 3 kì thi (Luyện thi 26+ TN THPT, 90+ ĐGNL HN, 900+ ĐGNL HCM, 70+ ĐGTD - Click xem ngay) tại Tuyensinh247.com.Đầy đủ theo 3 đầu sách, Thầy Cô giáo giỏi, luyện thi theo 3 giai đoạn: Nền tảng lớp 12, Luyện thi chuyên sâu, Luyện đề đủ dạng đáp ứng mọi kì thi.
![]() |
![]() |
![]() |
![]() |
![]() |
![]() |
![]() |
![]() |
Hỗ trợ - Hướng dẫn
-
024.7300.7989
-
1800.6947
(Thời gian hỗ trợ từ 7h đến 22h)
Email: lienhe@tuyensinh247.com














