Dynorphin là một nhóm peptide đóng vai trò quan trọng trong những thay đổi ở não liên quan đến
Dynorphin là một nhóm peptide đóng vai trò quan trọng trong những thay đổi ở não liên quan đến nghiện cocaine. Một trong những peptide này, dynorphin A, chứa trình tự amino acid như sau:
Tyr–Gly–Gly–Phe–Leu–Arg–Arg–Ile–Arg–Pro–Lys–Leu–Lys
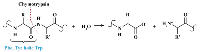
Chymotrypsin là một loại enzyme đặc hiệu có khả năng cắt mạch amino acid một cách có chọn lọc, cắt đứt liên kết CO–NH (với phần carbonyl thuộc về amino acid Phe, Tyr hoặc Trp).

Tiến hành cắt đứt chuỗi amino acid bằng enzyme chymotrypsin đến khi hoàn toàn thì trong các chất sản phẩm thu được, có số mắt xích lớn nhất có thể là bao nhiêu?
Đáp án đúng là: 9
Quảng cáo
Chymotrypsin chỉ có khả năng cắt mạch khi gặp Phe, Tyr hoặc Trp.
Đáp án cần điền là: 9
>> 2K9 Chú ý! Lộ Trình Sun 2027 - 1 lộ trình ôn đa kỳ thi (TN THPT, ĐGNL (Hà Nội/ Hồ Chí Minh), ĐGNL Sư Phạm, ĐGTD, ĐGNL Bộ Công an, ĐGNL Bộ Quốc phòngTD - Click xem ngay) tại Tuyensinh247.com. Cập nhật bám sát bộ SGK mới, Thầy Cô giáo giỏi, 3 bước chi tiết: Nền tảng lớp 12; Luyện thi chuyên sâu; Luyện đề đủ dạng đáp ứng mọi kì thi.
![]() |
![]() |
![]() |
![]() |
![]() |
![]() |
![]() |
![]() |
Hỗ trợ - Hướng dẫn
-
024.7300.7989
-
1800.6947
(Thời gian hỗ trợ từ 7h đến 22h)
Email: lienhe@tuyensinh247.com












