Đoạn mạch điện gồm 3 phần tử R, L, C nối tiếp mắc vào mạng điện tần số ω1 thì cảm
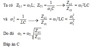
Đoạn mạch điện gồm 3 phần tử R, L, C nối tiếp mắc vào mạng điện tần số ω1 thì cảm kháng là ZL1 và dung kháng ZC1. Nếu mắc đoạn mạch vào mạng điện có tần số ω2 thì trong mạch xảy ra cộng hưởng. Hệ thức đúng là:
Đáp án đúng là: C
Quảng cáo
Đáp án cần chọn là: C
>> 2K9 Chú ý! Lộ Trình Sun 2027 - 1 lộ trình ôn đa kỳ thi (TN THPT, ĐGNL (Hà Nội/ Hồ Chí Minh), ĐGNL Sư Phạm, ĐGTD, ĐGNL Bộ Công an, ĐGNL Bộ Quốc phòngTD - Click xem ngay) tại Tuyensinh247.com. Cập nhật bám sát bộ SGK mới, Thầy Cô giáo giỏi, 3 bước chi tiết: Nền tảng lớp 12; Luyện thi chuyên sâu; Luyện đề đủ dạng đáp ứng mọi kì thi.
![]() |
![]() |
![]() |
![]() |
![]() |
![]() |
![]() |
![]() |
Hỗ trợ - Hướng dẫn
-
024.7300.7989
-
1800.6947
(Thời gian hỗ trợ từ 7h đến 22h)
Email: lienhe@tuyensinh247.com













