Một mẫu chất phóng xạ có chu kì bán rã T. Ở các thời điểm t1 và t2 (với t2 > t1) kể từ
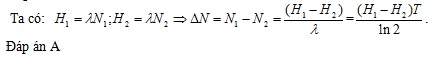
Một mẫu chất phóng xạ có chu kì bán rã T. Ở các thời điểm t1 và t2 (với t2 > t1) kể từ thời điểm ban đầu thì độ phóng xạ của mẫu chất tương ứng là H1 và H2. Số hạt nhân bị phân rã trong khoảng thời gian từ thời điểm đến thời điểm bằng:
Đáp án đúng là: A
Quảng cáo
Đáp án cần chọn là: A
>> 2K9 Chú ý! Lộ Trình Sun 2027 - 1 lộ trình ôn đa kỳ thi (TN THPT, ĐGNL (Hà Nội/ Hồ Chí Minh), ĐGNL Sư Phạm, ĐGTD, ĐGNL Bộ Công an, ĐGNL Bộ Quốc phòngTD - Click xem ngay) tại Tuyensinh247.com. Cập nhật bám sát bộ SGK mới, Thầy Cô giáo giỏi, 3 bước chi tiết: Nền tảng lớp 12; Luyện thi chuyên sâu; Luyện đề đủ dạng đáp ứng mọi kì thi.
![]() |
![]() |
![]() |
![]() |
![]() |
![]() |
![]() |
![]() |
Hỗ trợ - Hướng dẫn
-
024.7300.7989
-
1800.6947
(Thời gian hỗ trợ từ 7h đến 22h)
Email: lienhe@tuyensinh247.com













