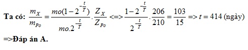
Ban đầu có một mẫu nguyên chất. Hạt nhân này phân rã, phóng ra hạt α và chuyển thành hạt
Ban đầu có một mẫu
nguyên chất. Hạt nhân này phân rã, phóng ra hạt α và chuyển thành hạt nhân X với chu kì bán rã là 138 ngày. Ở thời điểm khảo sát tỉ lệ khối lượng X và Po trong mẫu là 103:15. Tuổi của mẫu chất là
Đáp án đúng là: A
Quảng cáo
Đáp án cần chọn là: A
>> 2K9 Chú ý! Lộ Trình Sun 2027 - 1 lộ trình ôn đa kỳ thi (TN THPT, ĐGNL (Hà Nội/ Hồ Chí Minh), ĐGNL Sư Phạm, ĐGTD, ĐGNL Bộ Công an, ĐGNL Bộ Quốc phòngTD - Click xem ngay) tại Tuyensinh247.com. Cập nhật bám sát bộ SGK mới, Thầy Cô giáo giỏi, 3 bước chi tiết: Nền tảng lớp 12; Luyện thi chuyên sâu; Luyện đề đủ dạng đáp ứng mọi kì thi.
![]() |
![]() |
![]() |
![]() |
![]() |
![]() |
![]() |
![]() |
Hỗ trợ - Hướng dẫn
-
024.7300.7989
-
1800.6947
(Thời gian hỗ trợ từ 7h đến 22h)
Email: lienhe@tuyensinh247.com













