Trong giờ thực hành, một học sinh mắc đoạn mạch AB gồm điện trở thuần R = 40 Ω, tụ
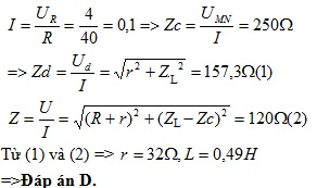
Trong giờ thực hành, một học sinh mắc đoạn mạch AB gồm điện trở thuần R = 40 Ω, tụ điện có điện dung C và cuộn dây có độ tự cảm L nối tiếp nhau theo đúng thứ tự trên. Gọi M là điểm nối giữa điện trở thuần và tụ điện, N là điểm nối giữa tụ điện và cuộn dây. Đặt vào hai đầu đoạn mạch AB một điện áp xoay chiều tần số 50 Hz và có giá trị hiệu dụng UAB = 12 V. Dùng vôn kế để đo các điện áp hiệu dụng, thu được kết quả: UAM = 4,00 V; UMN = 25,00 V; UNB = 15,73 V. Độ tự cảm và điện trở thuần của cuộn dây có giá trị lần lượt là
Đáp án đúng là: D
Quảng cáo
Đáp án cần chọn là: D
>> 2K9 Chú ý! Lộ Trình Sun 2027 - 1 lộ trình ôn đa kỳ thi (TN THPT, ĐGNL (Hà Nội/ Hồ Chí Minh), ĐGNL Sư Phạm, ĐGTD, ĐGNL Bộ Công an, ĐGNL Bộ Quốc phòngTD - Click xem ngay) tại Tuyensinh247.com. Cập nhật bám sát bộ SGK mới, Thầy Cô giáo giỏi, 3 bước chi tiết: Nền tảng lớp 12; Luyện thi chuyên sâu; Luyện đề đủ dạng đáp ứng mọi kì thi.
![]() |
![]() |
![]() |
![]() |
![]() |
![]() |
![]() |
![]() |
Hỗ trợ - Hướng dẫn
-
024.7300.7989
-
1800.6947
(Thời gian hỗ trợ từ 7h đến 22h)
Email: lienhe@tuyensinh247.com













