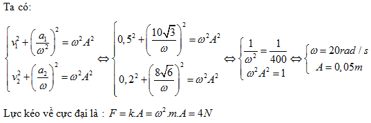
Một vật có khối lượng 200g dao động điều hòa, tại thời điểm t1 vật có gia tốc a1 = 10 m/s2
Một vật có khối lượng 200g dao động điều hòa, tại thời điểm t1 vật có gia tốc a1 = 10
m/s2 và vận tốc v1 = 0,5m/s; tại thời điểm t2 vật có gia tốc a2 = 8
m/s2 và vận tốc v1= 0,2m/s. Lực kéo về tác dụng lên vật có độ lớn cực đại là:
Đáp án đúng là: B
Quảng cáo
Phương pháp: Sử dụng hệ thức độc lập theo thời gian của vận tốc và gia tốc
Đáp án cần chọn là: B
>> 2K9 Chú ý! Lộ Trình Sun 2027 - 1 lộ trình ôn đa kỳ thi (TN THPT, ĐGNL (Hà Nội/ Hồ Chí Minh), ĐGNL Sư Phạm, ĐGTD, ĐGNL Bộ Công an, ĐGNL Bộ Quốc phòngTD - Click xem ngay) tại Tuyensinh247.com. Cập nhật bám sát bộ SGK mới, Thầy Cô giáo giỏi, 3 bước chi tiết: Nền tảng lớp 12; Luyện thi chuyên sâu; Luyện đề đủ dạng đáp ứng mọi kì thi.
![]() |
![]() |
![]() |
![]() |
![]() |
![]() |
![]() |
![]() |
Hỗ trợ - Hướng dẫn
-
024.7300.7989
-
1800.6947
(Thời gian hỗ trợ từ 7h đến 22h)
Email: lienhe@tuyensinh247.com












