Cho mạch điện xoay chiều như hình vẽ. Điện áp đặt vào hai đầu mạch có biểu thức u= (V)
Cho mạch điện xoay chiều như hình vẽ. Điện áp đặt vào hai đầu mạch có biểu thức u=
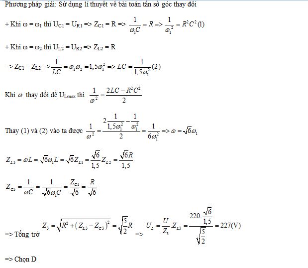
(V) với f thay đổi được. Khi cho f=f1 thì điện áp hiệu dụng giữa hai bản tụ và giữa hai đầu điện trở bằng nhau. Khi f=f2=1,5f1 thì điện áp hiệu dụng giữa hai đầu điện trở và giữa hai đầu cuộn cảm bằng nhau. Nếu thay đổi f để cho điện áp hiệu dụng giữa hai đầu cuộn cảm đạt giá trị cực đại thì giá trị cực đại đó gần với giá trị nào nhất?
Đáp án đúng là: D
Quảng cáo
Đáp án cần chọn là: D
>> 2K9 Chú ý! Lộ Trình Sun 2027 - 1 lộ trình ôn đa kỳ thi (TN THPT, ĐGNL (Hà Nội/ Hồ Chí Minh), ĐGNL Sư Phạm, ĐGTD, ĐGNL Bộ Công an, ĐGNL Bộ Quốc phòngTD - Click xem ngay) tại Tuyensinh247.com. Cập nhật bám sát bộ SGK mới, Thầy Cô giáo giỏi, 3 bước chi tiết: Nền tảng lớp 12; Luyện thi chuyên sâu; Luyện đề đủ dạng đáp ứng mọi kì thi.
![]() |
![]() |
![]() |
![]() |
![]() |
![]() |
![]() |
![]() |
Hỗ trợ - Hướng dẫn
-
024.7300.7989
-
1800.6947
(Thời gian hỗ trợ từ 7h đến 22h)
Email: lienhe@tuyensinh247.com












