Cho đoạn mạch RLC không phân nhánh, cuộn dây thuần cảm. Đặt vào hai đầu đoạn mạch điện
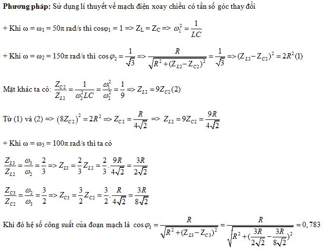
Cho đoạn mạch RLC không phân nhánh, cuộn dây thuần cảm. Đặt vào hai đầu đoạn mạch điện áp xoay chiều có giá trị hiệu dụng U không đổi, tần số góc ω thay đổi được. Khi ω = ω1 = 50π rad/s thì hệ số công suất của mạch bằng 1. Khi ω = ω2 = 150π rad/s thì hệ số công suất của mạch là
. Khi ω = ω3 = 100π rad/s thì hệ số công suất của mạch là:
Đáp án đúng là: B
Quảng cáo
Đáp án cần chọn là: B
>> 2K9 Chú ý! Lộ Trình Sun 2027 - 1 lộ trình ôn đa kỳ thi (TN THPT, ĐGNL (Hà Nội/ Hồ Chí Minh), ĐGNL Sư Phạm, ĐGTD, ĐGNL Bộ Công an, ĐGNL Bộ Quốc phòngTD - Click xem ngay) tại Tuyensinh247.com. Cập nhật bám sát bộ SGK mới, Thầy Cô giáo giỏi, 3 bước chi tiết: Nền tảng lớp 12; Luyện thi chuyên sâu; Luyện đề đủ dạng đáp ứng mọi kì thi.
![]() |
![]() |
![]() |
![]() |
![]() |
![]() |
![]() |
![]() |
Hỗ trợ - Hướng dẫn
-
024.7300.7989
-
1800.6947
(Thời gian hỗ trợ từ 7h đến 22h)
Email: lienhe@tuyensinh247.com












