Một sóng dừng trên dây có bước sóng λ và N là một nút sóng. Hai điểm M1, M2 nằm về hai phía
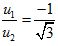
Một sóng dừng trên dây có bước sóng λ và N là một nút sóng. Hai điểm M1, M2 nằm về hai phía của N và có vị trí cân bằng cách N những đoạn lần lượt là λ/12 và λ/3. Ở thời điểm M1, M2 có li độ khác không thì tỉ số giữa li độ của M1 so với M2 là:
Đáp án đúng là: A
Quảng cáo
Đáp án cần chọn là: A
>> 2K9 Chú ý! Lộ Trình Sun 2027 - 1 lộ trình ôn đa kỳ thi (TN THPT, ĐGNL (Hà Nội/ Hồ Chí Minh), ĐGNL Sư Phạm, ĐGTD, ĐGNL Bộ Công an, ĐGNL Bộ Quốc phòngTD - Click xem ngay) tại Tuyensinh247.com. Cập nhật bám sát bộ SGK mới, Thầy Cô giáo giỏi, 3 bước chi tiết: Nền tảng lớp 12; Luyện thi chuyên sâu; Luyện đề đủ dạng đáp ứng mọi kì thi.
![]() |
![]() |
![]() |
![]() |
![]() |
![]() |
![]() |
![]() |
Hỗ trợ - Hướng dẫn
-
024.7300.7989
-
1800.6947
(Thời gian hỗ trợ từ 7h đến 22h)
Email: lienhe@tuyensinh247.com












