Chiếu vào Katốt phẳng của một tế bào quang điện bước sóng λ=350nm thì có thể làm triệt
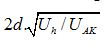
Chiếu vào Katốt phẳng của một tế bào quang điện bước sóng λ=350nm thì có thể làm triệt tiêu dòng quang điện bằng cách đặt vào giữa A và K hiệu điện thế ≤-0,3125V. Hiệu điện thế hãm để triệt tiêu dòng quang điện là Uh. A nốt của tế bào quang điện cũng có dạng phẳng đặt đối diện, song song và cách Katốt một khoảng d. Đặt vào giữa A nốt và Katốt hiệu điện thế UAK, chiếu chùm bức xạ trên vào tâm Katốt thì bán kính lớn nhất của vùng trên bề mặt Anốt mà các e đến đập vào là:
Đáp án đúng là: B
Quảng cáo
Đáp án cần chọn là: B
>> 2K9 Chú ý! Lộ Trình Sun 2027 - 1 lộ trình ôn đa kỳ thi (TN THPT, ĐGNL (Hà Nội/ Hồ Chí Minh), ĐGNL Sư Phạm, ĐGTD, ĐGNL Bộ Công an, ĐGNL Bộ Quốc phòngTD - Click xem ngay) tại Tuyensinh247.com. Cập nhật bám sát bộ SGK mới, Thầy Cô giáo giỏi, 3 bước chi tiết: Nền tảng lớp 12; Luyện thi chuyên sâu; Luyện đề đủ dạng đáp ứng mọi kì thi.
![]() |
![]() |
![]() |
![]() |
![]() |
![]() |
![]() |
![]() |
Hỗ trợ - Hướng dẫn
-
024.7300.7989
-
1800.6947
(Thời gian hỗ trợ từ 7h đến 22h)
Email: lienhe@tuyensinh247.com












