Đặt điện áp xoay chiều ổn định vào mạch điện gồm cuộn dây có độ tự cảm L và
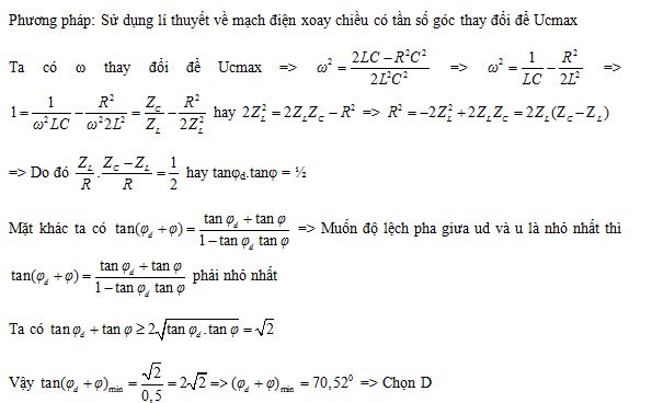
Đặt điện áp xoay chiều ổn định vào mạch điện gồm cuộn dây có độ tự cảm L và điệntrở R nối tiếp với tụ C (CR2<2L). Thay đổi tần số góc đến giá trị ω0 thì điện áp giữa hai đầu tụ điện đạt giá trị cực đại, khi đó độ lệch pha giữa điện áp hai đầu cuộn dây và điện áp hai đầu mạch điện có giá trị nhỏ nhất là:
Đáp án đúng là: D
Quảng cáo
Đáp án cần chọn là: D
>> 2K9 Chú ý! Lộ Trình Sun 2027 - 1 lộ trình ôn đa kỳ thi (TN THPT, ĐGNL (Hà Nội/ Hồ Chí Minh), ĐGNL Sư Phạm, ĐGTD, ĐGNL Bộ Công an, ĐGNL Bộ Quốc phòngTD - Click xem ngay) tại Tuyensinh247.com. Cập nhật bám sát bộ SGK mới, Thầy Cô giáo giỏi, 3 bước chi tiết: Nền tảng lớp 12; Luyện thi chuyên sâu; Luyện đề đủ dạng đáp ứng mọi kì thi.
![]() |
![]() |
![]() |
![]() |
![]() |
![]() |
![]() |
![]() |
Hỗ trợ - Hướng dẫn
-
024.7300.7989
-
1800.6947
(Thời gian hỗ trợ từ 7h đến 22h)
Email: lienhe@tuyensinh247.com












