Cho đoạn mạch AB mắc nối tiếp gồm một tụ điện, một cuộn dây và một biến trở R.
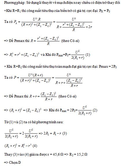
Cho đoạn mạch AB mắc nối tiếp gồm một tụ điện, một cuộn dây và một biến trở R. Điện áp xoay chiều giữa hai đầu đoạn mạch ổn định. Cho R thay đổi ta thấy: Khi R = R1 = 76 Ω thì công suất tiêu thụ của biến trở có giá trị lớn nhất là P0, khi R = R2 thì công suất tiêu thụ của mạch AB có giá trị lớn nhất là 2P0. Giá trị của R2 bằng
Đáp án đúng là: D
Quảng cáo
Đáp án cần chọn là: D
>> 2K9 Chú ý! Lộ Trình Sun 2027 - 1 lộ trình ôn đa kỳ thi (TN THPT, ĐGNL (Hà Nội/ Hồ Chí Minh), ĐGNL Sư Phạm, ĐGTD, ĐGNL Bộ Công an, ĐGNL Bộ Quốc phòngTD - Click xem ngay) tại Tuyensinh247.com. Cập nhật bám sát bộ SGK mới, Thầy Cô giáo giỏi, 3 bước chi tiết: Nền tảng lớp 12; Luyện thi chuyên sâu; Luyện đề đủ dạng đáp ứng mọi kì thi.
![]() |
![]() |
![]() |
![]() |
![]() |
![]() |
![]() |
![]() |
Hỗ trợ - Hướng dẫn
-
024.7300.7989
-
1800.6947
(Thời gian hỗ trợ từ 7h đến 22h)
Email: lienhe@tuyensinh247.com












