Về mặt kĩ thuật, để giảm tốc độ quay của rôto trong máy phát điện xoay chiều, người ta
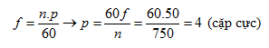
Về mặt kĩ thuật, để giảm tốc độ quay của rôto trong máy phát điện xoay chiều, người ta thường dùng rôto có nhiều cặp cực. Rôto của một máy phát điện xoay chiều một pha có p cặp cực quay với tốc độ 750 vòng/phút. Dòng điện do máy phát ra có tần số 50 Hz. Số cặp cực của rôto là
Đáp án đúng là: D
Quảng cáo
Đáp án cần chọn là: D
>> 2K9 Chú ý! Lộ Trình Sun 2027 - 1 lộ trình ôn đa kỳ thi (TN THPT, ĐGNL (Hà Nội/ Hồ Chí Minh), ĐGNL Sư Phạm, ĐGTD, ĐGNL Bộ Công an, ĐGNL Bộ Quốc phòngTD - Click xem ngay) tại Tuyensinh247.com. Cập nhật bám sát bộ SGK mới, Thầy Cô giáo giỏi, 3 bước chi tiết: Nền tảng lớp 12; Luyện thi chuyên sâu; Luyện đề đủ dạng đáp ứng mọi kì thi.
![]() |
![]() |
![]() |
![]() |
![]() |
![]() |
![]() |
![]() |
Hỗ trợ - Hướng dẫn
-
024.7300.7989
-
1800.6947
(Thời gian hỗ trợ từ 7h đến 22h)
Email: lienhe@tuyensinh247.com













