Một máy biến thế có cuộn sơ cấp 1000 vòng dây được mắc vào mạng điện xoay chiều có hiệu
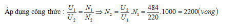
Một máy biến thế có cuộn sơ cấp 1000 vòng dây được mắc vào mạng điện xoay chiều có hiệu điện thế hiệu dụng 220V. Khi đó hiệu điện thế hiệu dụng ở hai đầu cuộn thứ cấp để hở là 484 V. Bỏ qua mọi hao phí của máy biến thế. Số vòng dây của cuộn thứ cấp là
Đáp án đúng là: B
Quảng cáo
Đáp án cần chọn là: B
>> 2K9 Chú ý! Lộ Trình Sun 2027 - 1 lộ trình ôn đa kỳ thi (TN THPT, ĐGNL (Hà Nội/ Hồ Chí Minh), ĐGNL Sư Phạm, ĐGTD, ĐGNL Bộ Công an, ĐGNL Bộ Quốc phòngTD - Click xem ngay) tại Tuyensinh247.com. Cập nhật bám sát bộ SGK mới, Thầy Cô giáo giỏi, 3 bước chi tiết: Nền tảng lớp 12; Luyện thi chuyên sâu; Luyện đề đủ dạng đáp ứng mọi kì thi.
![]() |
![]() |
![]() |
![]() |
![]() |
![]() |
![]() |
![]() |
Hỗ trợ - Hướng dẫn
-
024.7300.7989
-
1800.6947
(Thời gian hỗ trợ từ 7h đến 22h)
Email: lienhe@tuyensinh247.com













