Một con lắc lò xo gồm lò xo nhẹ và vật nhỏ dao động điều hòa theo phương ngang với tần số
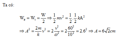
Một con lắc lò xo gồm lò xo nhẹ và vật nhỏ dao động điều hòa theo phương ngang với tần số góc 10 rad/s. Biết rằng khi động năng và thế năng (mốc ở vị trí cân bằng của vật) bằng nhau thì vận tốc của vật có độ lớn bằng 0,6 m/s. Biên độ dao động của con lắc là
Đáp án đúng là: B
Quảng cáo
Đáp án cần chọn là: B
>> 2K8 Chú ý! Lộ Trình Sun 2026 - 3IN1 - 1 lộ trình ôn 3 kì thi (Luyện thi 26+ TN THPT, 90+ ĐGNL HN, 900+ ĐGNL HCM, 70+ ĐGTD - Click xem ngay) tại Tuyensinh247.com.Đầy đủ theo 3 đầu sách, Thầy Cô giáo giỏi, luyện thi theo 3 giai đoạn: Nền tảng lớp 12, Luyện thi chuyên sâu, Luyện đề đủ dạng đáp ứng mọi kì thi.
![]() |
![]() |
![]() |
![]() |
![]() |
![]() |
![]() |
![]() |
Hỗ trợ - Hướng dẫn
-
024.7300.7989
-
1800.6947
(Thời gian hỗ trợ từ 7h đến 22h)
Email: lienhe@tuyensinh247.com













