Xét mạch dao động điện từ lí tưởng. Chu kì dao động riêng của mạch thứ nhất là T1, của
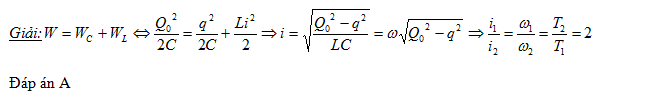
Xét mạch dao động điện từ lí tưởng. Chu kì dao động riêng của mạch thứ nhất là T1, của mạch thứ hai là T2 = 2T1. Ban đầu điện tích trên mỗi bản tụ điện có độ lớn cực đại Q0. Sau đó mỗi tụ điện phóng điện qua cuộn cảm của mạch. Khi điện tích trên mỗi bản tụ của hai mạch đều có độ lớn bằng q (0 < q <Q0) thì tỉ số độ lớn cường độ dòng điện trong mạch thứ nhất và độ lớn cường độ dòng điện trong mạch thứ hai là
Đáp án đúng là: A
Quảng cáo
Đáp án cần chọn là: A
>> 2K9 Chú ý! Lộ Trình Sun 2027 - 1 lộ trình ôn đa kỳ thi (TN THPT, ĐGNL (Hà Nội/ Hồ Chí Minh), ĐGNL Sư Phạm, ĐGTD, ĐGNL Bộ Công an, ĐGNL Bộ Quốc phòngTD - Click xem ngay) tại Tuyensinh247.com. Cập nhật bám sát bộ SGK mới, Thầy Cô giáo giỏi, 3 bước chi tiết: Nền tảng lớp 12; Luyện thi chuyên sâu; Luyện đề đủ dạng đáp ứng mọi kì thi.
![]() |
![]() |
![]() |
![]() |
![]() |
![]() |
![]() |
![]() |
Hỗ trợ - Hướng dẫn
-
024.7300.7989
-
1800.6947
(Thời gian hỗ trợ từ 7h đến 22h)
Email: lienhe@tuyensinh247.com













