Điện năng được truyền từ trạm phát điện đến nơi tiêu thụ bằng đường dây tải điện
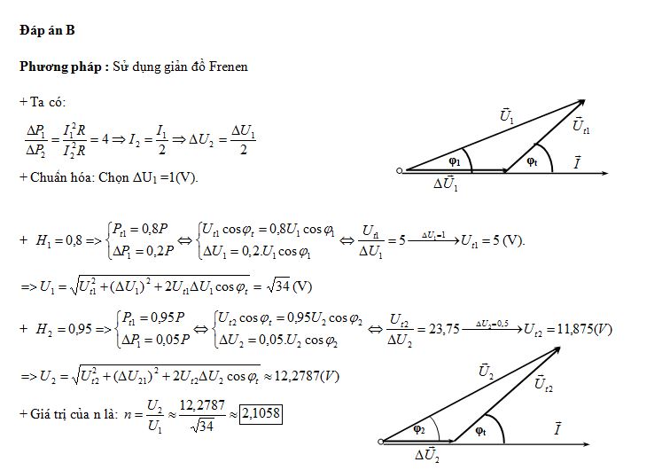
Điện năng được truyền từ trạm phát điện đến nơi tiêu thụ bằng đường dây tải điện một phA. Ban đầu hiệu suất truyền tải là 80%. Cho công suất truyền đi không đổi và hệ số công suất ở nơi tiêu thụ (cuối đường dây tải điện) luôn bằng 0,8. Để giảm hao phí trên đường dây 4 lần thì cần phải tăng điện áp hiệu dụng ở trạm phát điện lên n lần. Giá trị của n là
Đáp án đúng là: B
Quảng cáo
Đáp án cần chọn là: B
>> 2K9 Chú ý! Lộ Trình Sun 2027 - 1 lộ trình ôn đa kỳ thi (TN THPT, ĐGNL (Hà Nội/ Hồ Chí Minh), ĐGNL Sư Phạm, ĐGTD, ĐGNL Bộ Công an, ĐGNL Bộ Quốc phòngTD - Click xem ngay) tại Tuyensinh247.com. Cập nhật bám sát bộ SGK mới, Thầy Cô giáo giỏi, 3 bước chi tiết: Nền tảng lớp 12; Luyện thi chuyên sâu; Luyện đề đủ dạng đáp ứng mọi kì thi.
![]() |
![]() |
![]() |
![]() |
![]() |
![]() |
![]() |
![]() |
Hỗ trợ - Hướng dẫn
-
024.7300.7989
-
1800.6947
(Thời gian hỗ trợ từ 7h đến 22h)
Email: lienhe@tuyensinh247.com












