Điện năng được truyền từ một trạm phát điện đến nơi tiêu thụ bằng đường dây tải
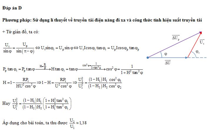
Điện năng được truyền từ một trạm phát điện đến nơi tiêu thụ bằng đường dây tải điện một pha. Biết đoạn mạch tại nơi tiêu thụ (cuối đường dây tải điện) tiêu thụ điện với công suất không đổi và có hệ số công suất luôn bằng 0,8. Để tăng hiệu suất của quá trình truyền tải từ 80% lên 90% thì cần tăng điện áp hiệu dụng ở trạm phát điện lên
Đáp án đúng là: D
Quảng cáo
Đáp án cần chọn là: D
>> 2K9 Chú ý! Lộ Trình Sun 2027 - 1 lộ trình ôn đa kỳ thi (TN THPT, ĐGNL (Hà Nội/ Hồ Chí Minh), ĐGNL Sư Phạm, ĐGTD, ĐGNL Bộ Công an, ĐGNL Bộ Quốc phòngTD - Click xem ngay) tại Tuyensinh247.com. Cập nhật bám sát bộ SGK mới, Thầy Cô giáo giỏi, 3 bước chi tiết: Nền tảng lớp 12; Luyện thi chuyên sâu; Luyện đề đủ dạng đáp ứng mọi kì thi.
![]() |
![]() |
![]() |
![]() |
![]() |
![]() |
![]() |
![]() |
Hỗ trợ - Hướng dẫn
-
024.7300.7989
-
1800.6947
(Thời gian hỗ trợ từ 7h đến 22h)
Email: lienhe@tuyensinh247.com












