Trên mặt nước có hai nguồn kết hợp được đặt ở A và B cách nhau 14cm, dao động điều hòa
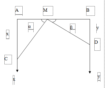
Trên mặt nước có hai nguồn kết hợp được đặt ở A và B cách nhau 14cm, dao động điều hòa cùng tần số, cùng pha, theo phương vuông góc với mặt nước. sóng truyền trên mặt nước với bước sóng 0,9cm. Điểm M nằm trên đoạn AB cách A một đoạn 6cm. Gọi Ax, By là hai nửa đường thẳng trên mặt nước ở cùng một phía so với AB và vuông góc với AB. Cho điểm C di chuyển trên Ax và điểm D di chuyển trên By sao cho MC luôn vuông góc với MD. Khi tổng diện tích của tam giác ACM và BMD có giá trị nhỏ nhất thì số điểm dao động với biên độ cực đại trên MD là
Đáp án đúng là: A
Quảng cáo
sử dụng bất đẳng thức cosi, công thức tính diện tích tam giác, điều kiện cực đại, cực tiểu.
Đáp án cần chọn là: A
>> 2K9 Chú ý! Lộ Trình Sun 2027 - 1 lộ trình ôn đa kỳ thi (TN THPT, ĐGNL (Hà Nội/ Hồ Chí Minh), ĐGNL Sư Phạm, ĐGTD, ĐGNL Bộ Công an, ĐGNL Bộ Quốc phòngTD - Click xem ngay) tại Tuyensinh247.com. Cập nhật bám sát bộ SGK mới, Thầy Cô giáo giỏi, 3 bước chi tiết: Nền tảng lớp 12; Luyện thi chuyên sâu; Luyện đề đủ dạng đáp ứng mọi kì thi.
![]() |
![]() |
![]() |
![]() |
![]() |
![]() |
![]() |
![]() |
Hỗ trợ - Hướng dẫn
-
024.7300.7989
-
1800.6947
(Thời gian hỗ trợ từ 7h đến 22h)
Email: lienhe@tuyensinh247.com












