Tìm \(a,\,\,b,\,\,c\) để \(a{x^3} + b{x^2} + c\) chia hết cho \(x - 1\), chia cho \({x^2} + 2\) thì dư \( - 2x
Tìm \(a,\,\,b,\,\,c\) để \(a{x^3} + b{x^2} + c\) chia hết cho \(x - 1\), chia cho \({x^2} + 2\) thì dư \( - 2x + 1\)
Đáp án đúng là: D
Quảng cáo
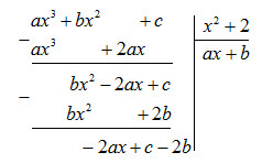
Thực hiện phép chia đa thức một biến đã sắp xếp.
Phép chia hết có dư bằng 0. Từ đó, ta có 1 phương trình.
Phép chia có dư, đồng nhất hệ số với \( - 2x + 1\) ta được 2 phương trình.
Giải hệ 3 phương trình 3 ẩn ta được \(a,\,\,b,\,\,c.\)
Đáp án cần chọn là: D
>> Học trực tuyến lớp 8 trên Tuyensinh247.com. Đầy đủ khoá học các bộ sách: Kết nối tri thức với cuộc sống; Chân trời sáng tạo; Cánh diều. Cam kết giúp học sinh lớp 8 học tốt, hoàn trả học phí nếu học không hiệu quả. PH/HS tham khảo chi tiết khoá học tại: Link
![]() |
![]() |
![]() |
![]() |
![]() |
![]() |
Hỗ trợ - Hướng dẫn
-
024.7300.7989
-
1800.6947
(Thời gian hỗ trợ từ 7h đến 22h)
Email: lienhe@tuyensinh247.com











