Tìm giá trị của \(a\) và \(b\) để đa thức \({x^3} + a{x^2} + bx + 2\) chia hết cho đa thức \({x^2} -
Tìm giá trị của \(a\) và \(b\) để đa thức \({x^3} + a{x^2} + bx + 2\) chia hết cho đa thức \({x^2} - x - 1.\)
Đáp án đúng là: C
Quảng cáo
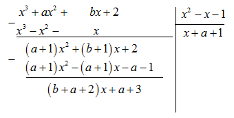
Đa thức \({x^3} + a{x^2} + bx + 2\) chia hết cho đa thức \({x^2} - x - 1\) thì số dư của phép chia phải bằng \(0.\)
Đáp án cần chọn là: C
>> Học trực tuyến lớp 8 trên Tuyensinh247.com. Đầy đủ khoá học các bộ sách: Kết nối tri thức với cuộc sống; Chân trời sáng tạo; Cánh diều. Cam kết giúp học sinh lớp 8 học tốt, hoàn trả học phí nếu học không hiệu quả. PH/HS tham khảo chi tiết khoá học tại: Link
![]() |
![]() |
![]() |
![]() |
![]() |
![]() |
Hỗ trợ - Hướng dẫn
-
024.7300.7989
-
1800.6947
(Thời gian hỗ trợ từ 7h đến 22h)
Email: lienhe@tuyensinh247.com










