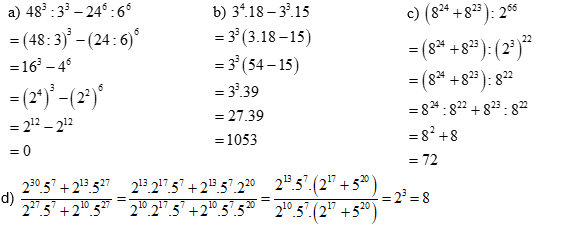
Tính giá trị của các biểu thức sau:a) \({48^3}:{3^3} - {24^6}:{6^6}\) b) \({3^4}.18 - {3^3}.15\)c)
Tính giá trị của các biểu thức sau:
a) \({48^3}:{3^3} - {24^6}:{6^6}\)
b) \({3^4}.18 - {3^3}.15\)
c) \(\left( {{8^{24}} + {8^{23}}} \right):{2^{66}}\)
d) \(\frac{{{2^{30}}{{.5}^7} + {2^{13}}{{.5}^{27}}}}{{{2^{27}}{{.5}^7} + {2^{10}}{{.5}^{27}}}}\)
Quảng cáo
Sử dụng các tính chất cơ bản của lũy thừa, thứ tự thực hiện phép tính.
>> Học trực tuyến lớp 6 chương trình mới trên Tuyensinh247.com. Đầy đủ khoá học các bộ sách: Kết nối tri thức với cuộc sống; Chân trời sáng tạo; Cánh diều. Cam kết giúp học sinh lớp 6 học tốt, hoàn trả học phí nếu học không hiệu quả. PH/HS tham khảo chi tiết khoá học tại: Link
![]() |
![]() |
![]() |
![]() |
![]() |
![]() |
Hỗ trợ - Hướng dẫn
-
024.7300.7989
-
1800.6947
(Thời gian hỗ trợ từ 7h đến 22h)
Email: lienhe@tuyensinh247.com











