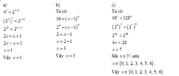
Tìm \(x \in \mathbb{N}\), biết: a) \({4^x}\; = {2^{x + 1}}\) b) \(16 = {\left( {x - 1}
Tìm \(x \in \mathbb{N}\), biết:
a) \({4^x}\; = {2^{x + 1}}\)
b) \(16 = {\left( {x - 1} \right)^4}\)
c) \({16^x} < {128^4}\)
Quảng cáo
Sử dụng lũy thừa, giải bài toán ngược để tìm \(x\).
>> Học trực tuyến lớp 6 chương trình mới trên Tuyensinh247.com. Đầy đủ khoá học các bộ sách: Kết nối tri thức với cuộc sống; Chân trời sáng tạo; Cánh diều. Cam kết giúp học sinh lớp 6 học tốt, hoàn trả học phí nếu học không hiệu quả. PH/HS tham khảo chi tiết khoá học tại: Link
![]() |
![]() |
![]() |
![]() |
![]() |
![]() |
Hỗ trợ - Hướng dẫn
-
024.7300.7989
-
1800.6947
(Thời gian hỗ trợ từ 7h đến 22h)
Email: lienhe@tuyensinh247.com











