a) Khảo sát và vẽ đồ thị hàm số \(y = 2{x^4} - 4{x^2}\) b) Khảo sát và vẽ đồ thị hàm số \(y
a) Khảo sát và vẽ đồ thị hàm số \(y = 2{x^4} - 4{x^2}\)
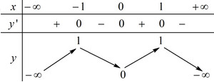
b) Khảo sát và vẽ đồ thị hàm số \(y = {x^4} - 4{x^2} + 1\)
c) Khảo sát và vẽ đồ thị hàm số \(y = - {x^4} + 2{x^2}\)
d) Khảo sát và vẽ đồ thị hàm số \(y = - 2{x^4} - 6{x^2} + 6\)
Quảng cáo
>> 2K9 Chú ý! Lộ Trình Sun 2027 - 1 lộ trình ôn đa kỳ thi (TN THPT, ĐGNL (Hà Nội/ Hồ Chí Minh), ĐGNL Sư Phạm, ĐGTD, ĐGNL Bộ Công an, ĐGNL Bộ Quốc phòngTD - Click xem ngay) tại Tuyensinh247.com. Cập nhật bám sát bộ SGK mới, Thầy Cô giáo giỏi, 3 bước chi tiết: Nền tảng lớp 12; Luyện thi chuyên sâu; Luyện đề đủ dạng đáp ứng mọi kì thi.
![]() |
![]() |
![]() |
![]() |
![]() |
![]() |
![]() |
![]() |
Hỗ trợ - Hướng dẫn
-
024.7300.7989
-
1800.6947
(Thời gian hỗ trợ từ 7h đến 22h)
Email: lienhe@tuyensinh247.com




















