Cho các hàm số \(y = f\left( x \right)\) và \(y = g\left( x \right)\) liên tục trên mỗi khoảng xác
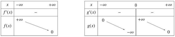
Cho các hàm số \(y = f\left( x \right)\) và \(y = g\left( x \right)\) liên tục trên mỗi khoảng xác định của chúng và có bảng biến thiên được cho như hình vẽ dưới đây

Mệnh đề nào sau đây sai?
Đáp án đúng là: D
Quảng cáo
Lập BBT của hàm số \(f\left( x \right) + g\left( x \right)\).
Đáp án cần chọn là: D
>> 2K8 Chú ý! Lộ Trình Sun 2026 - 3IN1 - 1 lộ trình ôn 3 kì thi (Luyện thi 26+ TN THPT, 90+ ĐGNL HN, 900+ ĐGNL HCM, 70+ ĐGTD - Click xem ngay) tại Tuyensinh247.com.Đầy đủ theo 3 đầu sách, Thầy Cô giáo giỏi, luyện thi theo 3 giai đoạn: Nền tảng lớp 12, Luyện thi chuyên sâu, Luyện đề đủ dạng đáp ứng mọi kì thi.
![]() |
![]() |
![]() |
![]() |
![]() |
![]() |
![]() |
![]() |
Hỗ trợ - Hướng dẫn
-
024.7300.7989
-
1800.6947
(Thời gian hỗ trợ từ 7h đến 22h)
Email: lienhe@tuyensinh247.com













