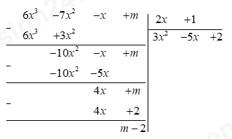
Cho đa thức \(A\left( x \right) = 6{x^3} - 7{x^2} - x + m\) và \(B\left( x \right) = 2x + 1\)a) Thực hiện phép
Cho đa thức \(A\left( x \right) = 6{x^3} - 7{x^2} - x + m\) và \(B\left( x \right) = 2x + 1\)
a) Thực hiện phép chia \(A\left( x \right)\) cho \(B\left( x \right)\).
b) Tìm giá trị của \(m\) để phép chia trên có dư là \(4\).
Quảng cáo
Với hai đa thức một biến \(A\) và \(B\)(\(B\) khác đa thức \(0\)) tuỳ ý. Tồn tại hai đa thức duy nhất \(Q\) và \(R\) sao cho:
\(A = B.Q + R\) trong đó bậc của \(R\) thấp hơn bậc của \(B\)
\(A:\) đa thức bị chia
\(B:\) Đa thức chia
\(Q:\) Đa thức thương
\(R\): Đa thức dư
>> Học trực tuyến lớp 8 trên Tuyensinh247.com. Đầy đủ khoá học các bộ sách: Kết nối tri thức với cuộc sống; Chân trời sáng tạo; Cánh diều. Cam kết giúp học sinh lớp 8 học tốt, hoàn trả học phí nếu học không hiệu quả. PH/HS tham khảo chi tiết khoá học tại: Link
![]() |
![]() |
![]() |
![]() |
![]() |
![]() |
Hỗ trợ - Hướng dẫn
-
024.7300.7989
-
1800.6947
(Thời gian hỗ trợ từ 7h đến 22h)
Email: lienhe@tuyensinh247.com











