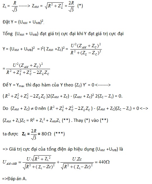
Đoạn mạch AB nối tiếp gồm hai đoạn mạch AM và MB. Đoạn mạch AM là một cuộn dây có điện
Đoạn mạch AB nối tiếp gồm hai đoạn mạch AM và MB. Đoạn mạch AM là một cuộn dây có điện trở thuần
và độ tự cảm L=0,4/π H, đoạn mạch MB là một tụ điện có điện dung C thay đổi được, C có giá trị hữu hạn và khác không. Đặt vào AB một điện áp
. Điều chỉnh C để tổng điện áp hiệu dụng (UAM +UMB) đạt giá trị cực đại. Giá trị cực đại của tổng điện áp hiệu dụng (UAM +UMB) là
Đáp án đúng là: A
Quảng cáo
Đáp án cần chọn là: A
>> 2K9 Chú ý! Lộ Trình Sun 2027 - 1 lộ trình ôn đa kỳ thi (TN THPT, ĐGNL (Hà Nội/ Hồ Chí Minh), ĐGNL Sư Phạm, ĐGTD, ĐGNL Bộ Công an, ĐGNL Bộ Quốc phòngTD - Click xem ngay) tại Tuyensinh247.com. Cập nhật bám sát bộ SGK mới, Thầy Cô giáo giỏi, 3 bước chi tiết: Nền tảng lớp 12; Luyện thi chuyên sâu; Luyện đề đủ dạng đáp ứng mọi kì thi.
![]() |
![]() |
![]() |
![]() |
![]() |
![]() |
![]() |
![]() |
Hỗ trợ - Hướng dẫn
-
024.7300.7989
-
1800.6947
(Thời gian hỗ trợ từ 7h đến 22h)
Email: lienhe@tuyensinh247.com













