Một mạch dao động gồm một cuộn cảm thuần có độ tự cảm xác định và một tụ điện là
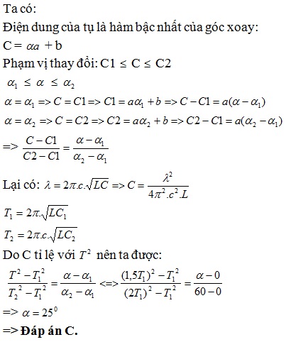
Một mạch dao động gồm một cuộn cảm thuần có độ tự cảm xác định và một tụ điện là tụ xoay, có điện dung thay đổi được theo quy luật hàm số bậc nhất của góc xoay α của bản linh động. Khi α = 00, chu kỳ dao động riêng của mạch là T1 (s). Khi α = 600, chu kỳ dao động riêng của mạch là 2T1 (s). Để mạch này có chu kỳ dao động riêng là 1,5T1 thì α bằng
Đáp án đúng là: C
Quảng cáo
Đáp án cần chọn là: C
>> 2K9 Chú ý! Lộ Trình Sun 2027 - 1 lộ trình ôn đa kỳ thi (TN THPT, ĐGNL (Hà Nội/ Hồ Chí Minh), ĐGNL Sư Phạm, ĐGTD, ĐGNL Bộ Công an, ĐGNL Bộ Quốc phòngTD - Click xem ngay) tại Tuyensinh247.com. Cập nhật bám sát bộ SGK mới, Thầy Cô giáo giỏi, 3 bước chi tiết: Nền tảng lớp 12; Luyện thi chuyên sâu; Luyện đề đủ dạng đáp ứng mọi kì thi.
![]() |
![]() |
![]() |
![]() |
![]() |
![]() |
![]() |
![]() |
Hỗ trợ - Hướng dẫn
-
024.7300.7989
-
1800.6947
(Thời gian hỗ trợ từ 7h đến 22h)
Email: lienhe@tuyensinh247.com













