Trong thí nghiệm Y - âng, chiếu sáng khe F đồng thời hai bức xạ đơn sắc: màu tím có bước
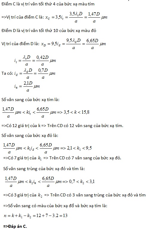
Trong thí nghiệm Y - âng, chiếu sáng khe F đồng thời hai bức xạ đơn sắc: màu tím có bước sóng λ1 = 0,42 μm và màu đỏ λ2 = 0,70 μm. Hai điểm C và D nằm trong vùng giao thoa trên màn và ở cùng một phía so với vân sáng chính giữa O. Điểm C là vị trí vân tối thứ 4 của bức xạ màu tím, điểm D là vị trí vân tối thứ 10 của bức xạ màu đỏ. Trong khoảng giữa C và D, tổng số vị trí vân sáng có màu tím và màu đỏ bằng
Đáp án đúng là: C
Quảng cáo
Đáp án cần chọn là: C
>> 2K9 Chú ý! Lộ Trình Sun 2027 - 1 lộ trình ôn đa kỳ thi (TN THPT, ĐGNL (Hà Nội/ Hồ Chí Minh), ĐGNL Sư Phạm, ĐGTD, ĐGNL Bộ Công an, ĐGNL Bộ Quốc phòngTD - Click xem ngay) tại Tuyensinh247.com. Cập nhật bám sát bộ SGK mới, Thầy Cô giáo giỏi, 3 bước chi tiết: Nền tảng lớp 12; Luyện thi chuyên sâu; Luyện đề đủ dạng đáp ứng mọi kì thi.
![]() |
![]() |
![]() |
![]() |
![]() |
![]() |
![]() |
![]() |
Hỗ trợ - Hướng dẫn
-
024.7300.7989
-
1800.6947
(Thời gian hỗ trợ từ 7h đến 22h)
Email: lienhe@tuyensinh247.com













