Một con lắc lò xo treo thẳng đứng, đầu trên cố định, vật treo có khối lượng m = 200 gam.
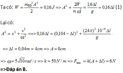
Một con lắc lò xo treo thẳng đứng, đầu trên cố định, vật treo có khối lượng m = 200 gam. Kéo vật xuống dưới vị trí cân bằng sao cho lò xo dãn 10,4 cm rồi truyền cho vật một vận tốc 24π cm/s dọc theo trục lò xo, vật dao động điều hòa, khi qua vị trí cân bằng thì động năng của vật là 0,16 J. Lấy g = 10 m/s2; π2 = 10. Lực mà lò xo tác dụng lên vật có độ lớn cực đại bằng
Đáp án đúng là: B
Quảng cáo
Đáp án cần chọn là: B
>> 2K9 Chú ý! Lộ Trình Sun 2027 - 1 lộ trình ôn đa kỳ thi (TN THPT, ĐGNL (Hà Nội/ Hồ Chí Minh), ĐGNL Sư Phạm, ĐGTD, ĐGNL Bộ Công an, ĐGNL Bộ Quốc phòngTD - Click xem ngay) tại Tuyensinh247.com. Cập nhật bám sát bộ SGK mới, Thầy Cô giáo giỏi, 3 bước chi tiết: Nền tảng lớp 12; Luyện thi chuyên sâu; Luyện đề đủ dạng đáp ứng mọi kì thi.
![]() |
![]() |
![]() |
![]() |
![]() |
![]() |
![]() |
![]() |
Hỗ trợ - Hướng dẫn
-
024.7300.7989
-
1800.6947
(Thời gian hỗ trợ từ 7h đến 22h)
Email: lienhe@tuyensinh247.com













