Một máy phát điện xoay chiều một pha có roto là một nam châm điện có một cặp cực, quay đều
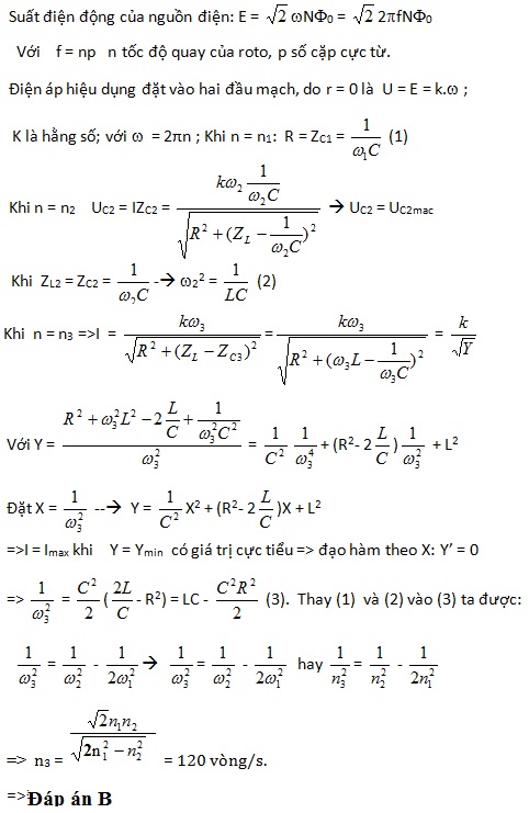
Một máy phát điện xoay chiều một pha có roto là một nam châm điện có một cặp cực, quay đều với tốc độ n (vòng/s). Một đoạn mạch RLC nối tiếp được mắc vào hai cực của máy. Khi roto quay với tốc độ n1 = 30 (vòng/phút) thì dung kháng của tụ điện bằng R ; khi rô to quay với tốc độ n2 = 40 (vòng/s) thì điện áp hiệu dụng ở hai đầu tụ điện đạt giá trị cực đại. Bỏ qua điện trở thuần ở các cuộn dây phần ứng. Để cường độ dòng điện hiệu dụng qua mạch đạt giá trị cực đại thì ro tô phải quay với tốc độ bằng
Đáp án đúng là: B
Quảng cáo
Đáp án cần chọn là: B
>> 2K9 Chú ý! Lộ Trình Sun 2027 - 1 lộ trình ôn đa kỳ thi (TN THPT, ĐGNL (Hà Nội/ Hồ Chí Minh), ĐGNL Sư Phạm, ĐGTD, ĐGNL Bộ Công an, ĐGNL Bộ Quốc phòngTD - Click xem ngay) tại Tuyensinh247.com. Cập nhật bám sát bộ SGK mới, Thầy Cô giáo giỏi, 3 bước chi tiết: Nền tảng lớp 12; Luyện thi chuyên sâu; Luyện đề đủ dạng đáp ứng mọi kì thi.
![]() |
![]() |
![]() |
![]() |
![]() |
![]() |
![]() |
![]() |
Hỗ trợ - Hướng dẫn
-
024.7300.7989
-
1800.6947
(Thời gian hỗ trợ từ 7h đến 22h)
Email: lienhe@tuyensinh247.com













