Đặt điện áp (U và ω không đổi) vào hai đầu đoạn mạch gồm cuộn dây và tụ điện mắc
Đặt điện áp
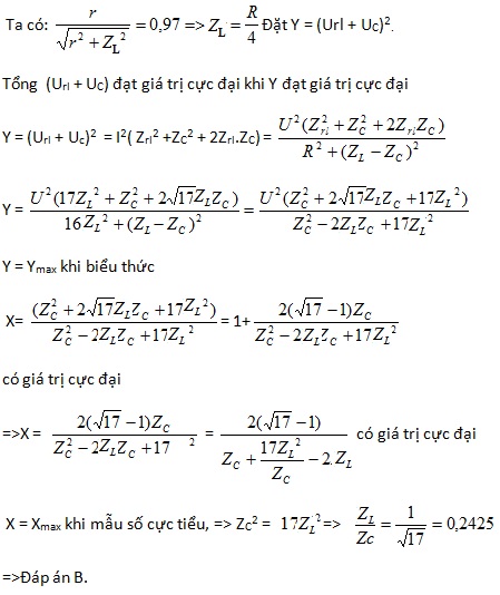
(U và ω không đổi) vào hai đầu đoạn mạch gồm cuộn dây và tụ điện mắc nối tiếp. Biết cuộn dây có hệ số công suất bằng 0,97 và tụ điện có điện dung C thay đôi được. Điều chỉnh C để tổng điện áp hiệu dụng trên cuộn dây và tụ điện có giá trị lớn nhất. Khi đó tỉ số cảm kháng và dung kháng của mạch điện có giá trị gần giá trị nào nhất sau đây ?
Đáp án đúng là: B
Quảng cáo
Đáp án cần chọn là: B
>> 2K9 Chú ý! Lộ Trình Sun 2027 - 1 lộ trình ôn đa kỳ thi (TN THPT, ĐGNL (Hà Nội/ Hồ Chí Minh), ĐGNL Sư Phạm, ĐGTD, ĐGNL Bộ Công an, ĐGNL Bộ Quốc phòngTD - Click xem ngay) tại Tuyensinh247.com. Cập nhật bám sát bộ SGK mới, Thầy Cô giáo giỏi, 3 bước chi tiết: Nền tảng lớp 12; Luyện thi chuyên sâu; Luyện đề đủ dạng đáp ứng mọi kì thi.
![]() |
![]() |
![]() |
![]() |
![]() |
![]() |
![]() |
![]() |
Hỗ trợ - Hướng dẫn
-
024.7300.7989
-
1800.6947
(Thời gian hỗ trợ từ 7h đến 22h)
Email: lienhe@tuyensinh247.com













