Một đoạn mạch xoay chiều RLC mắc nối tiếp, cuộn dây thuần cảm, điện áp hiệu dụng giữa
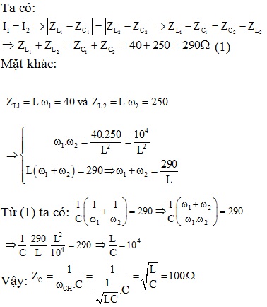
Một đoạn mạch xoay chiều RLC mắc nối tiếp, cuộn dây thuần cảm, điện áp hiệu dụng giữa hai đầu đoạn mạch U không thay đổi. Khi thay đổi tần số góc đến giá trị ω1 và ω2 tương ứng với các giá trị cảm kháng là 40Ω và 250Ω thì cường độ dòng điện hiệu dụng có giá trị bằng nhau và nhỏ hơn cường độ dòng điện hiệu dụng cực đại trong đoạn mạch. Giá trị dung kháng của tụ điện trong trường hợp cường độ dòng điện hiệu dụng cực đại là
Đáp án đúng là: D
Quảng cáo
Đáp án cần chọn là: D
>> 2K9 Chú ý! Lộ Trình Sun 2027 - 1 lộ trình ôn đa kỳ thi (TN THPT, ĐGNL (Hà Nội/ Hồ Chí Minh), ĐGNL Sư Phạm, ĐGTD, ĐGNL Bộ Công an, ĐGNL Bộ Quốc phòngTD - Click xem ngay) tại Tuyensinh247.com. Cập nhật bám sát bộ SGK mới, Thầy Cô giáo giỏi, 3 bước chi tiết: Nền tảng lớp 12; Luyện thi chuyên sâu; Luyện đề đủ dạng đáp ứng mọi kì thi.
![]() |
![]() |
![]() |
![]() |
![]() |
![]() |
![]() |
![]() |
Hỗ trợ - Hướng dẫn
-
024.7300.7989
-
1800.6947
(Thời gian hỗ trợ từ 7h đến 22h)
Email: lienhe@tuyensinh247.com













