Poly(phenol-formaldehyde) (PPF) là polymer có tính cứng, chịu nhiệt, chống mài
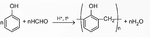
Poly(phenol-formaldehyde) (PPF) là polymer có tính cứng, chịu nhiệt, chống mài mòn và chống ẩm cao. Vì vậy, PPF được ứng dụng rộng rãi trong nhiều ngành công nghiệp như sử dựng làm chất kết dính trong sản xuất ván ép, ván MDF, giúp tăng độ bền và khả năng chống ẩm của vật liệu. PPF được điều chế từ phản ứng giữa phenol và formaldehyde ở pH và nhiệt độ thích hợp. Phản ứng hóa học xảy ra như sau:

| Đúng | Sai | |
|---|---|---|
| a) PPF được điều chế từ phản ứng trùng hợp. | ||
| b) PPF thuộc loại polyester. | ||
| c) Rác thải nhựa làm từ vật liệu PPF có thể xử lí bằng cách đốt hoặc chôn lấp. | ||
| d) PPF là vật liệu polymer thuộc loại chất dẻo. |
Đáp án đúng là: S; S; S; Đ
Quảng cáo
a) Phương pháp tổng hợp polymer.
b) Polyester là những polymer trong phân tử có nhóm chức ester (-COO-).
c) Cách xử lí rác thải nhựa.
d) Phân loại polymer.
Đáp án cần chọn là: S; S; S; Đ
>> 2K9 Chú ý! Lộ Trình Sun 2027 - 1 lộ trình ôn đa kỳ thi (TN THPT, ĐGNL (Hà Nội/ Hồ Chí Minh), ĐGNL Sư Phạm, ĐGTD, ĐGNL Bộ Công an, ĐGNL Bộ Quốc phòngTD - Click xem ngay) tại Tuyensinh247.com. Cập nhật bám sát bộ SGK mới, Thầy Cô giáo giỏi, 3 bước chi tiết: Nền tảng lớp 12; Luyện thi chuyên sâu; Luyện đề đủ dạng đáp ứng mọi kì thi.
![]() |
![]() |
![]() |
![]() |
![]() |
![]() |
![]() |
![]() |
Hỗ trợ - Hướng dẫn
-
024.7300.7989
-
1800.6947
(Thời gian hỗ trợ từ 7h đến 22h)
Email: lienhe@tuyensinh247.com












