Một mạch dao động gồm cuộn cảm thuần có độ tự cảm xác định và một tụ điện là tụ
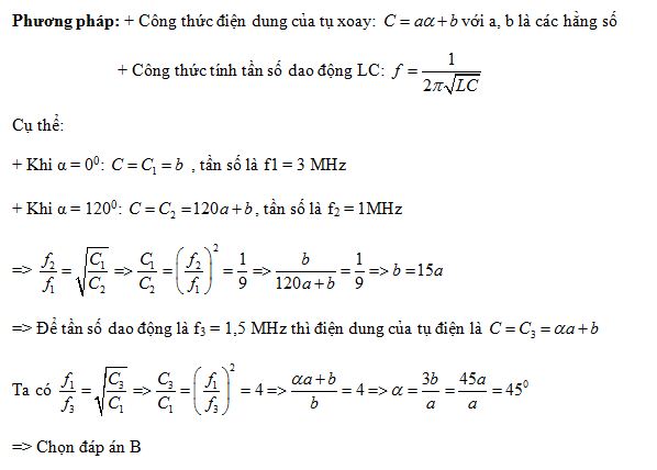
Một mạch dao động gồm cuộn cảm thuần có độ tự cảm xác định và một tụ điện là tụ xoay, có điện dung thay đổi được theo quy luật hàm số bậc nhất của góc xoay α của bản linh động. Khi α=00, tần số dao động riêng của mạch là 3MHz. Khi α=1200, tần số dao động riêng của mạch là 1MHz. Để mạch này có tần số dao động riêng bằng 1,5 MHz thì góc xoay α bằng:
Đáp án đúng là: B
Quảng cáo
Đáp án cần chọn là: B
>> 2K9 Chú ý! Lộ Trình Sun 2027 - 1 lộ trình ôn đa kỳ thi (TN THPT, ĐGNL (Hà Nội/ Hồ Chí Minh), ĐGNL Sư Phạm, ĐGTD, ĐGNL Bộ Công an, ĐGNL Bộ Quốc phòngTD - Click xem ngay) tại Tuyensinh247.com. Cập nhật bám sát bộ SGK mới, Thầy Cô giáo giỏi, 3 bước chi tiết: Nền tảng lớp 12; Luyện thi chuyên sâu; Luyện đề đủ dạng đáp ứng mọi kì thi.
![]() |
![]() |
![]() |
![]() |
![]() |
![]() |
![]() |
![]() |
Hỗ trợ - Hướng dẫn
-
024.7300.7989
-
1800.6947
(Thời gian hỗ trợ từ 7h đến 22h)
Email: lienhe@tuyensinh247.com












