Đặt điện áp ( w có thể thay đổi được) vào hai đầu đoạn mạch gồm điện trở thuần R,
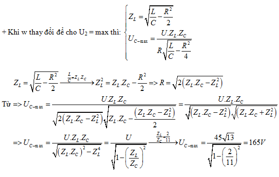
Đặt điện áp ( w có thể thay đổi được) vào hai đầu đoạn mạch gồm điện trở thuần R, cuộn dây thuần cảm có độ tự cảm L, tụ điện có điện dung C mắc nối tiếp (với 2L > CR2 ). Điều chỉnh w đến giá trị sao cho
thì điện áp hiệu dụng giữa hai bản tụ điện đạt cực đại. Giá trị cực đại đó bằng
Đáp án đúng là: C
Quảng cáo
Đáp án cần chọn là: C
>> 2K9 Chú ý! Lộ Trình Sun 2027 - 1 lộ trình ôn đa kỳ thi (TN THPT, ĐGNL (Hà Nội/ Hồ Chí Minh), ĐGNL Sư Phạm, ĐGTD, ĐGNL Bộ Công an, ĐGNL Bộ Quốc phòngTD - Click xem ngay) tại Tuyensinh247.com. Cập nhật bám sát bộ SGK mới, Thầy Cô giáo giỏi, 3 bước chi tiết: Nền tảng lớp 12; Luyện thi chuyên sâu; Luyện đề đủ dạng đáp ứng mọi kì thi.
![]() |
![]() |
![]() |
![]() |
![]() |
![]() |
![]() |
![]() |
Hỗ trợ - Hướng dẫn
-
024.7300.7989
-
1800.6947
(Thời gian hỗ trợ từ 7h đến 22h)
Email: lienhe@tuyensinh247.com












