Theo thông tư số 10/2009/TT – BGTVT của bộ giao thông vận tải, nếu âm lượng của còi xe
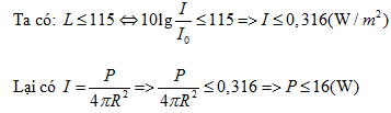
Theo thông tư số 10/2009/TT – BGTVT của bộ giao thông vận tải, nếu âm lượng của còi xe ô tô tại điểm cách đầu xe 2 m mà lớn hơn 115 dB là không đạt tiêu chuẩn an toàn kỹ thuật và bảo vệ môi trường. Lấy cường độ âm chuẩn I0 = 10-12 W/m2. Vậy để đạt tiêu chuẩn này thì công suất âm của còi xe (xem là nguồn điểm, đặt trước xa) không vượt quá
Đáp án đúng là: D
Quảng cáo
Đáp án cần chọn là: D
>> 2K9 Chú ý! Lộ Trình Sun 2027 - 1 lộ trình ôn đa kỳ thi (TN THPT, ĐGNL (Hà Nội/ Hồ Chí Minh), ĐGNL Sư Phạm, ĐGTD, ĐGNL Bộ Công an, ĐGNL Bộ Quốc phòngTD - Click xem ngay) tại Tuyensinh247.com. Cập nhật bám sát bộ SGK mới, Thầy Cô giáo giỏi, 3 bước chi tiết: Nền tảng lớp 12; Luyện thi chuyên sâu; Luyện đề đủ dạng đáp ứng mọi kì thi.
![]() |
![]() |
![]() |
![]() |
![]() |
![]() |
![]() |
![]() |
Hỗ trợ - Hướng dẫn
-
024.7300.7989
-
1800.6947
(Thời gian hỗ trợ từ 7h đến 22h)
Email: lienhe@tuyensinh247.com












