Đặt vào đoạn mạch RLC nối tiếp điện áp xoay chiều có biểu thức u=U0cos2πft(V), trong đó
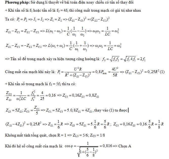
Đặt vào đoạn mạch RLC nối tiếp điện áp xoay chiều có biểu thức u=U0cos2πft(V), trong đó tần số thay đổi được. Khi tần số là f1 và 4f1 thì công suất trong mạch như nhau và bằng 80% công suất cực đại mà mạch đạt được. Khi f=5f1 thì hệ số công suất của mạch điện là
Đáp án đúng là: A
Quảng cáo
Đáp án cần chọn là: A
>> 2K9 Chú ý! Lộ Trình Sun 2027 - 1 lộ trình ôn đa kỳ thi (TN THPT, ĐGNL (Hà Nội/ Hồ Chí Minh), ĐGNL Sư Phạm, ĐGTD, ĐGNL Bộ Công an, ĐGNL Bộ Quốc phòngTD - Click xem ngay) tại Tuyensinh247.com. Cập nhật bám sát bộ SGK mới, Thầy Cô giáo giỏi, 3 bước chi tiết: Nền tảng lớp 12; Luyện thi chuyên sâu; Luyện đề đủ dạng đáp ứng mọi kì thi.
![]() |
![]() |
![]() |
![]() |
![]() |
![]() |
![]() |
![]() |
Hỗ trợ - Hướng dẫn
-
024.7300.7989
-
1800.6947
(Thời gian hỗ trợ từ 7h đến 22h)
Email: lienhe@tuyensinh247.com












