Trong phòng thu âm, tại một điểm nào đó trong phòng có mức cường độ âm nghe được trực
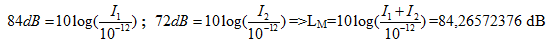
Trong phòng thu âm, tại một điểm nào đó trong phòng có mức cường độ âm nghe được trực tiếp từ nguồn âm phát ra có giá trị 84 dB, còn mức cường độ âm tạo ra từ sự phản xạ âm qua các bức tường là 72 dB. Khi đó mức cường độ âm mà người nghe cảm nhận được trong phòng có giá trị là
Đáp án đúng là: B
Quảng cáo
Đáp án cần chọn là: B
>> 2K9 Chú ý! Lộ Trình Sun 2027 - 1 lộ trình ôn đa kỳ thi (TN THPT, ĐGNL (Hà Nội/ Hồ Chí Minh), ĐGNL Sư Phạm, ĐGTD, ĐGNL Bộ Công an, ĐGNL Bộ Quốc phòngTD - Click xem ngay) tại Tuyensinh247.com. Cập nhật bám sát bộ SGK mới, Thầy Cô giáo giỏi, 3 bước chi tiết: Nền tảng lớp 12; Luyện thi chuyên sâu; Luyện đề đủ dạng đáp ứng mọi kì thi.
![]() |
![]() |
![]() |
![]() |
![]() |
![]() |
![]() |
![]() |
Hỗ trợ - Hướng dẫn
-
024.7300.7989
-
1800.6947
(Thời gian hỗ trợ từ 7h đến 22h)
Email: lienhe@tuyensinh247.com












