Một vật sáng đặt trước thấu kính cho ảnh thật. Khi dịch chuyển vật dọc theo trục chính
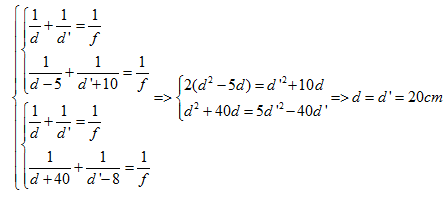
Một vật sáng đặt trước thấu kính cho ảnh thật. Khi dịch chuyển vật dọc theo trục chính lại gần thấu kính một đoạn 5 cm thì ảnh dịch đi 10 cm dọc theo trục chính. Khi dịch chuyển vật dọc theo trục chính ra xa thấu kính một đoạn 40 cm thì ảnh dịch đi 8 cm dọc theo trục chính. Tiêu cự của thấu kính là
Đáp án đúng là: A
Quảng cáo
Áp dụng công thức thấu kính $${1 \over d} + {1 \over {d'}} = {1 \over f}$$
Đáp án cần chọn là: A
>> 2K9 Chú ý! Lộ Trình Sun 2027 - 1 lộ trình ôn đa kỳ thi (TN THPT, ĐGNL (Hà Nội/ Hồ Chí Minh), ĐGNL Sư Phạm, ĐGTD, ĐGNL Bộ Công an, ĐGNL Bộ Quốc phòngTD - Click xem ngay) tại Tuyensinh247.com. Cập nhật bám sát bộ SGK mới, Thầy Cô giáo giỏi, 3 bước chi tiết: Nền tảng lớp 12; Luyện thi chuyên sâu; Luyện đề đủ dạng đáp ứng mọi kì thi.
![]() |
![]() |
![]() |
![]() |
![]() |
![]() |
![]() |
![]() |
Hỗ trợ - Hướng dẫn
-
024.7300.7989
-
1800.6947
(Thời gian hỗ trợ từ 7h đến 22h)
Email: lienhe@tuyensinh247.com












