Từ một trạm phát điện xoay chiều một pha đặt tại vị trí M, điện năng được truyền tải
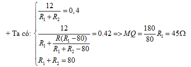
Từ một trạm phát điện xoay chiều một pha đặt tại vị trí M, điện năng được truyền tải đến nơi tiêu thụ N, cách M 180 km. Biết đường dây có điện trở tổng cộng 80Ω (coi dây tải điện là đồng chất, có điện trở tỉ lệ thuận với chiều dài của dây). Do sự cố, đường dây bị rò điện tại điểm Q (hai dây tải điện bị nối tắt bởi một vật có điện trở có giá trị xác định R). Để xác định vị trí Q, trước tiên người ta ngắt đường dây khỏi máy phát và tải tiêu thụ, sau đó dùng nguồn điện không đổi 12 V, điện trở trong không đáng kể, nối vào hai đầu của hai dây tải điện tại M. Khi hai đầu dây tại N để hở thì cường độ dòng điện qua nguồn là 0,40 A còn khi hai đầu dây tại N được nối tắt bằng một đoạn dây có điện trở không đáng kể thì cường độ dòng điện qua nguồn là 0,42 A. Khoảng cách MQ là
Đáp án đúng là: B
Quảng cáo
Phương pháp: Áp dụng định luật ohm cho đoạn mạch và công thức tính điện trở của đoạn mạch mắc nối tiếp và mắc song song
Đáp án cần chọn là: B
>> 2K9 Chú ý! Lộ Trình Sun 2027 - 1 lộ trình ôn đa kỳ thi (TN THPT, ĐGNL (Hà Nội/ Hồ Chí Minh), ĐGNL Sư Phạm, ĐGTD, ĐGNL Bộ Công an, ĐGNL Bộ Quốc phòngTD - Click xem ngay) tại Tuyensinh247.com. Cập nhật bám sát bộ SGK mới, Thầy Cô giáo giỏi, 3 bước chi tiết: Nền tảng lớp 12; Luyện thi chuyên sâu; Luyện đề đủ dạng đáp ứng mọi kì thi.
![]() |
![]() |
![]() |
![]() |
![]() |
![]() |
![]() |
![]() |
Hỗ trợ - Hướng dẫn
-
024.7300.7989
-
1800.6947
(Thời gian hỗ trợ từ 7h đến 22h)
Email: lienhe@tuyensinh247.com












