Đoạn mạch xoay chiều RLC mắc nối tiếp, cuộn dây thuần cảm, R là biến trở. Khi đặt vào hai
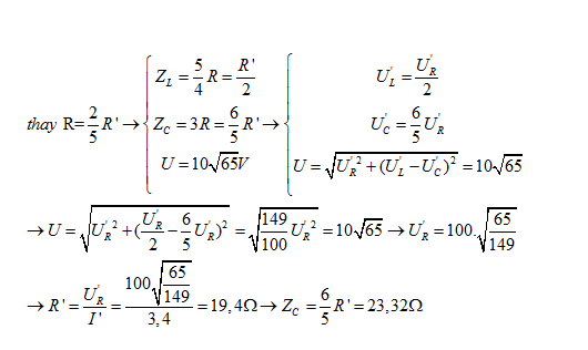
Đoạn mạch xoay chiều RLC mắc nối tiếp, cuộn dây thuần cảm, R là biến trở. Khi đặt vào hai đầu đoạn mạch một điện áp xoay chiều có điện áp hiệu dụng không đổi thì các điện áp hiệu dụng hai đầu điện trở, cuộn cảm và tụ điện lần lượt là: UR=40V, UL=50V, UC=120V. Điều chỉnh biến trở đến giá trị R’=2,5R thì cường độ dòng điện hiệu dụng trong mạch là 3,4 A. Dung kháng của tụ điện là:
Đáp án đúng là: C
Quảng cáo
Vận dụng các công thức về mạch điện xoay chiều
Đáp án cần chọn là: C
>> 2K9 Chú ý! Lộ Trình Sun 2027 - 1 lộ trình ôn đa kỳ thi (TN THPT, ĐGNL (Hà Nội/ Hồ Chí Minh), ĐGNL Sư Phạm, ĐGTD, ĐGNL Bộ Công an, ĐGNL Bộ Quốc phòngTD - Click xem ngay) tại Tuyensinh247.com. Cập nhật bám sát bộ SGK mới, Thầy Cô giáo giỏi, 3 bước chi tiết: Nền tảng lớp 12; Luyện thi chuyên sâu; Luyện đề đủ dạng đáp ứng mọi kì thi.
![]() |
![]() |
![]() |
![]() |
![]() |
![]() |
![]() |
![]() |
Hỗ trợ - Hướng dẫn
-
024.7300.7989
-
1800.6947
(Thời gian hỗ trợ từ 7h đến 22h)
Email: lienhe@tuyensinh247.com












