Tìm giá trị \(n \in \mathbb{Z}\) để \(2{n^3} + 3{n^2} + n + 2\) chia hết cho \(n + 1\)
Tìm giá trị \(n \in \mathbb{Z}\) để \(2{n^3} + 3{n^2} + n + 2\) chia hết cho \(n + 1\)
Đáp án đúng là: A
Quảng cáo
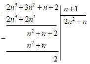
Bước 1: Thực hiện phép chia đa thức đã sắp xếp
Bước 2: Để phép chia là phép chia hết thì số dư \(2\) chia hết cho số chia \(n + 1\) hay \(n + 1\) là ước của \(2\)
Bước 3: Lập bảng để tìm \(n\) và thử lại
Đáp án cần chọn là: A
>> Học trực tuyến lớp 8 trên Tuyensinh247.com. Đầy đủ khoá học các bộ sách: Kết nối tri thức với cuộc sống; Chân trời sáng tạo; Cánh diều. Cam kết giúp học sinh lớp 8 học tốt, hoàn trả học phí nếu học không hiệu quả. PH/HS tham khảo chi tiết khoá học tại: Link
![]() |
![]() |
![]() |
![]() |
![]() |
![]() |
Hỗ trợ - Hướng dẫn
-
024.7300.7989
-
1800.6947
(Thời gian hỗ trợ từ 7h đến 22h)
Email: lienhe@tuyensinh247.com










