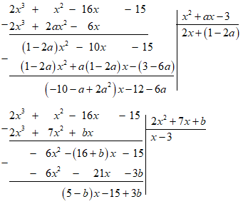
Cho hai phân thức \(\dfrac{1}{{{x^2} + ax - 3}};\,\,\dfrac{2}{{2{x^2} + 7x + b}}\). Tìm \(a,\,\,b\) để khi quy
Cho hai phân thức \(\dfrac{1}{{{x^2} + ax - 3}};\,\,\dfrac{2}{{2{x^2} + 7x + b}}\). Tìm \(a,\,\,b\) để khi quy đồng mẫu thức, chúng trở thành những phân thức có mẫu thức chung \(2{x^3} + {x^2} - 16x - 15\). Viết hai phân thức sau khi quy đồng.
Đáp án đúng là: D
Quảng cáo
Bước 1: Thực hiện phép chia mẫu thức chung cho mỗi mẫu thức
Bước 2: Để đa thức ở đề bài là mẫu thức chung thì phép chia ở bước 1 là phép chia hết hay phần dư bằng 0
Bước 3: Giải hệ phương trình với phần dư bằng 0, ta tìm được \(a,\,\,b\).
Bước 4: Thực hiện quy đồng các phân thức.
Đáp án cần chọn là: D
>> Học trực tuyến lớp 8 trên Tuyensinh247.com. Đầy đủ khoá học các bộ sách: Kết nối tri thức với cuộc sống; Chân trời sáng tạo; Cánh diều. Cam kết giúp học sinh lớp 8 học tốt, hoàn trả học phí nếu học không hiệu quả. PH/HS tham khảo chi tiết khoá học tại: Link
![]() |
![]() |
![]() |
![]() |
![]() |
![]() |
Hỗ trợ - Hướng dẫn
-
024.7300.7989
-
1800.6947
(Thời gian hỗ trợ từ 7h đến 22h)
Email: lienhe@tuyensinh247.com










