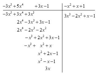
Sắp xếp đa thức theo lũy thừa giảm dần rồi làm phép chia: a) \(\left( {5{x^4} - 3{x^5} + 3x - 1}
Sắp xếp đa thức theo lũy thừa giảm dần rồi làm phép chia:
a) \(\left( {5{x^4} - 3{x^5} + 3x - 1} \right):\left( {x + 1 - {x^2}} \right)\)
b) \(\left( {17{x^2} - 6{x^4} + 5{x^3} - 23x + 7} \right):\left( {7 - 3{x^2} - 2x} \right)\)
Quảng cáo
Sắp xếp các lũy thừa giảm dần sau đó thực hiện phép chia một biến đã sắp xếp
>> Học trực tuyến lớp 8 trên Tuyensinh247.com. Đầy đủ khoá học các bộ sách: Kết nối tri thức với cuộc sống; Chân trời sáng tạo; Cánh diều. Cam kết giúp học sinh lớp 8 học tốt, hoàn trả học phí nếu học không hiệu quả. PH/HS tham khảo chi tiết khoá học tại: Link
![]() |
![]() |
![]() |
![]() |
![]() |
![]() |
Hỗ trợ - Hướng dẫn
-
024.7300.7989
-
1800.6947
(Thời gian hỗ trợ từ 7h đến 22h)
Email: lienhe@tuyensinh247.com












