Chứng minh các bất đẳng thức sau:a) \({2^n} > {n^2},\,\,\forall n \ge 5,\,\,n \in \mathbb{N}\) b)
Chứng minh các bất đẳng thức sau:
a) \({2^n} > {n^2},\,\,\forall n \ge 5,\,\,n \in \mathbb{N}\)
b) \({2^n} > 2n + 1\,\,\left( * \right)\,\,\forall n \ge 3,\,\,n \in \mathbb{N}\)
c) \({n^n} > {\left( {n + 1} \right)^{n - 1}}\,\,\left( * \right)\,\,\forall n \in {\mathbb{N}^*}\)
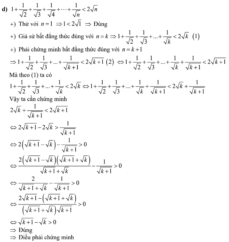
d) \(1 + \dfrac{1}{{\sqrt 2 }} + \dfrac{1}{{\sqrt 3 }} + \dfrac{1}{{\sqrt 4 }} + ... + \dfrac{1}{{\sqrt n }} < 2\sqrt n \,\)
e) \({2^n} \ge 2n + 1\) với \(n \ge 3\).
f) \(n! > {2^{n - 1}}\) với \(n \ge 3\).
g) \({3^n} > {n^2} + 4n + 5\) với \(n \ge 3\).
h) \({2^{n2}} > 2n + 5\,\,\forall n \in {\mathbb{N}^*}\).
Quảng cáo
>> 2K8 Chú ý! Lộ Trình Sun 2026 - 3IN1 - 1 lộ trình ôn 3 kì thi (Luyện thi 26+ TN THPT, 90+ ĐGNL HN, 900+ ĐGNL HCM, 70+ ĐGTD - Click xem ngay) tại Tuyensinh247.com.Đầy đủ theo 3 đầu sách, Thầy Cô giáo giỏi, luyện thi theo 3 giai đoạn: Nền tảng lớp 12, Luyện thi chuyên sâu, Luyện đề đủ dạng đáp ứng mọi kì thi.
![]() |
![]() |
![]() |
![]() |
![]() |
![]() |
![]() |
![]() |
Hỗ trợ - Hướng dẫn
-
024.7300.7989
-
1800.6947
(Thời gian hỗ trợ từ 7h đến 22h)
Email: lienhe@tuyensinh247.com




















