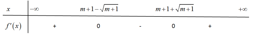
Cho hàm số \(y = \left| {2{x^3} - 3(2m + 2){x^2} + 6\left( {{m^2} + m} \right)x - m} \right|\). Có bao nhiêu giá
Cho hàm số \(y = \left| {2{x^3} - 3(2m + 2){x^2} + 6\left( {{m^2} + m} \right)x - m} \right|\). Có bao nhiêu giá trị nguyên của tham số \(m \in ( - 20;20)\) để hàm số đã cho đồng biến trên khoảng \((0;1)\)?
Đáp án đúng là: C
Quảng cáo
Đáp án cần chọn là: C
>> 2K8 Chú ý! Lộ Trình Sun 2026 - 3IN1 - 1 lộ trình ôn 3 kì thi (Luyện thi 26+ TN THPT, 90+ ĐGNL HN, 900+ ĐGNL HCM, 70+ ĐGTD - Click xem ngay) tại Tuyensinh247.com.Đầy đủ theo 3 đầu sách, Thầy Cô giáo giỏi, luyện thi theo 3 giai đoạn: Nền tảng lớp 12, Luyện thi chuyên sâu, Luyện đề đủ dạng đáp ứng mọi kì thi.
![]() |
![]() |
![]() |
![]() |
![]() |
![]() |
![]() |
![]() |
Hỗ trợ - Hướng dẫn
-
024.7300.7989
-
1800.6947
(Thời gian hỗ trợ từ 7h đến 22h)
Email: lienhe@tuyensinh247.com













