a) Tìm tất cả các giá trị của $m$ để phương trình $x^{2} - 4mx - 3 = 0$
a) Tìm tất cả các giá trị của $m$ để phương trình $x^{2} - 4mx - 3 = 0$ có hai nghiệm nguyên phân biệt.
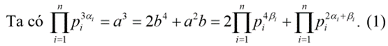
b) Cho $a,b$ là các số nguyên dương thỏa mãn $a^{3} = 2b^{4} + a^{2}b$. Chứng minh $a$ chia hết cho $b$.
Quảng cáo
a) Tính PT luôn có hai nghiệm (thực) phân biệt $x_{1} = 2m - \sqrt{4m^{2} + 3}$ và $x_{2} = 2m + \sqrt{4m^{2} + 3}$.
b) Trước hết, ta sẽ chứng minh $a$ và $b$ cùng tính chẵn lẻ. Thật vậy, nếu $a$ là số lẻ thì dễ dàng chứng minh được $b$ cũng là số lẻ. Nếu $a$ là số chẵn thì từ $2b^{4} = a^{2}\left( {a - b} \right):4$ ta thu được $b$ là số chẵn.
>> Học trực tuyến lớp 9 và Lộ trình UP10 trên Tuyensinh247.com Đầy đủ khoá học các bộ sách: Kết nối tri thức với cuộc sống; Chân trời sáng tạo; Cánh diều. Lộ trình học tập 3 giai đoạn: Học nền tảng lớp 9, Ôn thi vào lớp 10, Luyện Đề. Bứt phá điểm lớp 9, thi vào lớp 10 kết quả cao. Hoàn trả học phí nếu học không hiệu quả. PH/HS tham khảo chi tiết khoá học tại: Link
![]() |
![]() |
![]() |
![]() |
![]() |
![]() |
Hỗ trợ - Hướng dẫn
-
024.7300.7989
-
1800.6947
(Thời gian hỗ trợ từ 7h đến 22h)
Email: lienhe@tuyensinh247.com











