Tìm tích các giá trị nguyên của $m$ để nghiệm $(x;y)$ của hệ phương
Tìm tích các giá trị nguyên của $m$ để nghiệm $(x;y)$ của hệ phương trình $\left\{ \begin{matrix} {mx - y = 2} \\ {5x + my = 6} \end{matrix} \right.$ sao cho biểu thức $A = 3x - y$ nhận giá trị nguyên.
Đáp án đúng là:
Quảng cáo
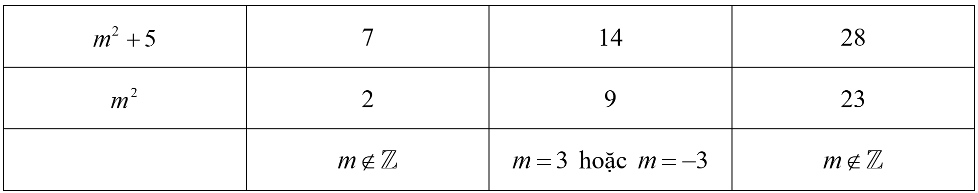
Giải hệ theo ẩn m để xác định được biểu thức $A = \dfrac{28}{m^{2} + 5}$
Để $A \in {\mathbb{Z}}$ ta thấy $28 \vdots \left( {m^{2} + 5} \right)$ hay $m^{2} + 5$ là ước của 28
Đáp án cần điền là: -9
>> Học trực tuyến lớp 9 và Lộ trình UP10 trên Tuyensinh247.com Đầy đủ khoá học các bộ sách: Kết nối tri thức với cuộc sống; Chân trời sáng tạo; Cánh diều. Lộ trình học tập 3 giai đoạn: Học nền tảng lớp 9, Ôn thi vào lớp 10, Luyện Đề. Bứt phá điểm lớp 9, thi vào lớp 10 kết quả cao. Hoàn trả học phí nếu học không hiệu quả. PH/HS tham khảo chi tiết khoá học tại: Link
![]() |
![]() |
![]() |
![]() |
![]() |
![]() |
Hỗ trợ - Hướng dẫn
-
024.7300.7989
-
1800.6947
(Thời gian hỗ trợ từ 7h đến 22h)
Email: lienhe@tuyensinh247.com











